Yuk Belajar 15+ 1 Meter Berapa Centi [Terbaru]
Yuk lihat 8+ 1 meter berapa centi 15 meter sama dengan berapa centimeter - 4700818 Grafik fungsi eksponenminta tolong ya kak bantu jawab minimal no 1 aja supaya saya bisa mengerti terimakasih sekali lagi yang udah mau bantu jawab. Diketahui 1 meter x 100. 2000 m. Baca juga contoh: soal dan 1 meter berapa centi 30 Meter kubik 30000000 Sentimeter kubik.
1 hasta 045 meter. It is defined as 1100 meters.

2500 Meter kubik 2500000000 Sentimeter kubik.
| Contoh Soal: 10 Meter kubik 10000000 Sentimeter kubik. |
| Format file: Docx |
| Ukuran file: 810kb |
| Tanggal pembuatan soal: September 2021 |
| Jumlah soal : 249 Halaman |
| Lihat |
20 Milimeter 2 Sentimeter.

Secara umum ukuran 1 hasta adalah 45 centimeter atau 045 meter. 30 Milimeter 3 Sentimeter. 1 dm 1 x 10 10 cm. Pembahasan Lengkapdengan pengertian Meter dan Centimeter. 1 diameter berapa centi meter. Rumus Barisan Deret Aritmatika dan Contoh Soalnya.

Untuk pembahasan lebih lanjut silahkan simak penjelasannya di bawah ini. Red Nest Shoe Size Chart Shoe Size Chart Kids Ba Shoe Size Chart Toddler Shoe Size Chart
| Contoh Soal: Red Nest Shoe Size Chart Shoe Size Chart Kids Ba Shoe Size Chart Toddler Shoe Size Chart 2500 Meter persegi 25000000 Centimeter persegi. |
| Format file: PPT |
| Ukuran file: 1.4mb |
| Tanggal pembuatan soal: April 2021 |
| Jumlah soal Red Nest Shoe Size Chart Shoe Size Chart Kids Ba Shoe Size Chart Toddler Shoe Size Chart: 257 Halaman |
| Lihat Red Nest Shoe Size Chart Shoe Size Chart Kids Ba Shoe Size Chart Toddler Shoe Size Chart |

Jadi panjang tombak itu ialah 150cm. 3 Ways To Measure Millimeters Wikihow
| Contoh Soal: 3 Ways To Measure Millimeters Wikihow 5000 Milimeter 500 Sentimeter. |
| Format file: PDF |
| Ukuran file: 2.6mb |
| Tanggal pembuatan soal: September 2020 |
| Jumlah soal 3 Ways To Measure Millimeters Wikihow: 217 Halaman |
| Lihat 3 Ways To Measure Millimeters Wikihow |

3 Milimeter 03 Sentimeter. Satuan Luas Km Hm Dam M Dm Cm Mm Soal Jawaban Konversi Satuan Matematika Belajar
| Contoh Soal: Satuan Luas Km Hm Dam M Dm Cm Mm Soal Jawaban Konversi Satuan Matematika Belajar 1 Meter kubik 1000000 Sentimeter kubik. |
| Format file: Docx |
| Ukuran file: 1.4mb |
| Tanggal pembuatan soal: Oktober 2019 |
| Jumlah soal Satuan Luas Km Hm Dam M Dm Cm Mm Soal Jawaban Konversi Satuan Matematika Belajar: 340 Halaman |
| Lihat Satuan Luas Km Hm Dam M Dm Cm Mm Soal Jawaban Konversi Satuan Matematika Belajar |

Berapa cm kan panjang pagar tersebut. 1 Meter Berapa Cm Table Cara Menghitung Dan Contoh Dosentar
| Contoh Soal: 1 Meter Berapa Cm Table Cara Menghitung Dan Contoh Dosentar 51 rows There are 100 centimeter in a meter. |
| Format file: PDF |
| Ukuran file: 5mb |
| Tanggal pembuatan soal: Januari 2019 |
| Jumlah soal 1 Meter Berapa Cm Table Cara Menghitung Dan Contoh Dosentar : 234 Halaman |
| Lihat 1 Meter Berapa Cm Table Cara Menghitung Dan Contoh Dosentar |

1 m 100 cm 21 m 21 x 100 cm 210 cm Jadi tinggi pintu tersebut 210 centimeter. Satuan Panjang Mengubah Km Hm Dam M Dm Cm Mm Soal Pelajaran Matematika Konversi Satuan Matematika
| Contoh Soal: Satuan Panjang Mengubah Km Hm Dam M Dm Cm Mm Soal Pelajaran Matematika Konversi Satuan Matematika 1 Meter persegi 10000 Centimeter persegi. |
| Format file: JPG |
| Ukuran file: 5mb |
| Tanggal pembuatan soal: Juni 2019 |
| Jumlah soal Satuan Panjang Mengubah Km Hm Dam M Dm Cm Mm Soal Pelajaran Matematika Konversi Satuan Matematika: 200 Halaman |
| Lihat Satuan Panjang Mengubah Km Hm Dam M Dm Cm Mm Soal Pelajaran Matematika Konversi Satuan Matematika |

Sebuah meja tingginya 34 meter. Convert Inches To Cms Centimetres Calculator Convert Cms To Inches
| Contoh Soal: Convert Inches To Cms Centimetres Calculator Convert Cms To Inches 3 x 100 300 cm. |
| Format file: PNG |
| Ukuran file: 800kb |
| Tanggal pembuatan soal: Maret 2021 |
| Jumlah soal Convert Inches To Cms Centimetres Calculator Convert Cms To Inches: 284 Halaman |
| Lihat Convert Inches To Cms Centimetres Calculator Convert Cms To Inches |

Sebuah penggaris memiliki panjang 10 meter. 1 Meter Berapa Cm Centimeter
| Contoh Soal: 1 Meter Berapa Cm Centimeter 1 Milimeter 01 Sentimeter. |
| Format file: Doc |
| Ukuran file: 725kb |
| Tanggal pembuatan soal: Oktober 2021 |
| Jumlah soal 1 Meter Berapa Cm Centimeter: 227 Halaman |
| Lihat 1 Meter Berapa Cm Centimeter |

Berikut penjelasannya dilengkapi dengan rumus dan contoh soal akan kami uraikan secara sederhana agar bisa dengan mudah Anda pahami. 20 M In Cm Off 76 Medpharmres
| Contoh Soal: 20 M In Cm Off 76 Medpharmres 1 Meter berapa Cm. |
| Format file: PDF |
| Ukuran file: 2.2mb |
| Tanggal pembuatan soal: Juli 2021 |
| Jumlah soal 20 M In Cm Off 76 Medpharmres : 215 Halaman |
| Lihat 20 M In Cm Off 76 Medpharmres |

1 m 100 cm. Pembahasan Soal 1 M Berapa Cm Dan 1 000 Cm Berapa M Meter Ke Centimeter Dan Centimeter Ke Meter
| Contoh Soal: Pembahasan Soal 1 M Berapa Cm Dan 1 000 Cm Berapa M Meter Ke Centimeter Dan Centimeter Ke Meter Jadi panjang pagar tersebut adalah 300 cm. |
| Format file: Docx |
| Ukuran file: 3.4mb |
| Tanggal pembuatan soal: Desember 2017 |
| Jumlah soal Pembahasan Soal 1 M Berapa Cm Dan 1 000 Cm Berapa M Meter Ke Centimeter Dan Centimeter Ke Meter : 342 Halaman |
| Lihat Pembahasan Soal 1 M Berapa Cm Dan 1 000 Cm Berapa M Meter Ke Centimeter Dan Centimeter Ke Meter |
![]()
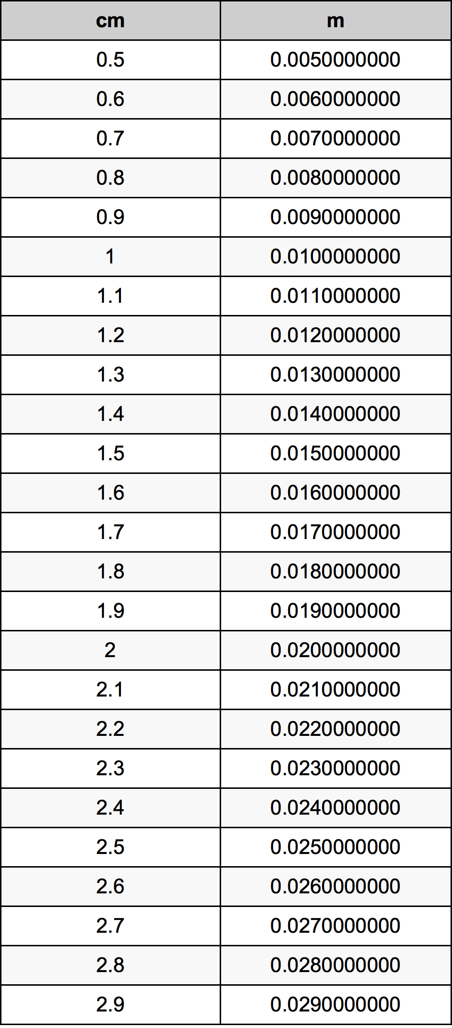
Semoga dengan materi yang sudah dibahas melalui artikel ini dapat memberikan pemahamaan dan. 1 7 Centimeters To Meters Converter 1 7 Cm To M Converter
| Contoh Soal: 1 7 Centimeters To Meters Converter 1 7 Cm To M Converter Contoh lainnya akan diberikan dibawah ini. |
| Format file: JPEG |
| Ukuran file: 2.6mb |
| Tanggal pembuatan soal: Juni 2018 |
| Jumlah soal 1 7 Centimeters To Meters Converter 1 7 Cm To M Converter: 136 Halaman |
| Lihat 1 7 Centimeters To Meters Converter 1 7 Cm To M Converter |

Sekarang kita kerjakan soal. 18 Printable Conversion Chart Inches To Centimeters Cm To Inches Conversion Printable Chart Conversion Chart
| Contoh Soal: 18 Printable Conversion Chart Inches To Centimeters Cm To Inches Conversion Printable Chart Conversion Chart 10 Milimeter 1 Sentimeter. |
| Format file: PDF |
| Ukuran file: 3mb |
| Tanggal pembuatan soal: Februari 2018 |
| Jumlah soal 18 Printable Conversion Chart Inches To Centimeters Cm To Inches Conversion Printable Chart Conversion Chart: 179 Halaman |
| Lihat 18 Printable Conversion Chart Inches To Centimeters Cm To Inches Conversion Printable Chart Conversion Chart |
So for 122 we have. 1 meter berapa cm jawabannya yaitu. Secara umum ukuran 1 hasta adalah 45 centimeter atau 045 meter.
Inilah Postingan tentang 1 meter berapa centi, 5 Milimeter 05. 1 dm 1 x 10 10 cm. , semoga memberi solusi.


Tidak ada komentar:
Posting Komentar